信息來源:知網

摘要:為了更好降低固-固界面接觸熱阻,研究了導熱硅脂、導熱橡膠墊、銦片這3種工程上常用的熱界面材料隨加載壓力變化對固-固界面接觸熱阻的影響。穩態熱流法實驗結果表明,30psi的壓力為工程建議選取壓力值。如當壓力小于30psi時,導熱硅脂和導熱橡膠墊對接觸熱阻的影響隨壓力變化顯著;當壓力大于30psi時,導熱硅脂和導熱橡膠墊對接觸熱阻的影響隨壓力變化則不明顯;導熱橡膠墊的厚度隨壓力變化對接觸熱阻的影響較大,銦片隨壓力變化對接觸熱阻的影響是近似呈線性變化。界面接觸熱阻是指具有接觸傳熱關系的2個物體接觸面間的傳熱熱阻,也稱為接觸熱阻(thermal contact resistance,簡稱TCR)。如2個固體A和B相互接觸發生熱傳遞時,微觀上接觸表面是無法做到完全貼合和理想光滑的,假設通過兩試件的熱流密度為q,在A,B內部溫度成線性分布(斜率與材料導熱系數相關),在接觸面上會產生一個溫度的突躍ΔTc,如圖1所示。接觸熱阻R定義為2個接觸面的溫差ΔTc與通過2個試件的熱流密度q之比,即:

在電子設備熱設計領域,溫度上升過高對器件的壽命和可靠性都具有非常不利的影響。當熱流密度q一定時,溫差ΔTc與接觸熱阻R成正比,降低R即可降低芯片的溫升。在大功率及高熱流密度傳熱應用工況下,接觸熱阻是造成電子設備溫升過高的顯著環節,也愈來愈引起人們的重視。

國內外接觸熱阻的研究主要集中在接觸傳熱機理、強化傳熱途徑、接觸熱阻的表征測試方法等方面。如對接觸傳熱機理的研究學者們提出了眾多從一維到三維描述表面形貌的模型和假設,用于計算、預測接觸熱阻和研究其作用機制,但目前還沒有令人滿意的理論模型或可靠的經驗公式可以預測各種狀況下的接觸熱阻。當前對固-固界面的強化傳熱方法研究則主要集中在表面處理技術和以納米管納米線、高定向熱解石墨、石墨烯、金剛石、納米銀、微米銅等新型熱界面材料的制備和實驗研究性能表征方面。而實驗表征測試是工程上獲取接觸熱阻的最主要途徑,長期以來對材料界面接觸傳熱性能的研究都是始于實驗測試,各種接觸熱阻理論研究模型和經驗公式都是通過大量的實驗研究來建立和驗證的。但是,當前對于工程上普遍應用的熱界面材料,生產廠家大多提供的也僅是采用不同測試方法給出的材料導熱系數,這對于接觸熱阻的工程實踐并不具備較大的指導性。因此,采用一維穩態測量法對導熱硅脂、導熱橡膠墊、銦片這3種工程上常用的熱界面材料隨加載壓力變化對固-固界面接觸熱阻的影響,進行接觸熱阻的壓力實驗研究,以期能為工程實踐提供借鑒和參考。實驗所采用的熱界面材料為導熱硅脂、導熱橡膠墊、銦片這3種,其型號和規格如表1所示。

本研究采用工程上常用的一維穩態測量法對接觸熱阻進行實驗研究,其工作原理為:上下熱流計為鎢銅圓棒,一端加熱,另一端冷卻,當受到一定載荷壓力時,上下熱流計相互接觸并且有熱量的傳遞,采取抽真空或隔熱材料包裹等措施使熱量只能沿熱流計軸向單方向傳遞,測量熱流計軸向上各點的溫度值,由傅里葉定律外推至接觸界面處,從而得到界面上的溫差ΔTc和熱流密度q,即可獲得接觸熱阻R,如圖2所示。

采用桂林電子科技大學研發的接觸熱阻綜合測試儀對以上3種熱界面材料進行了原位實驗測試,熱電偶測試方案的測試精度優于5%。1. 上、下熱流計安裝前,在超聲波清洗器中用無水乙醇和丙酮依次進行清洗;2. 在上、下熱流計上測試孔內安裝熱電偶,用導熱膏固定,并在周圈包裹多層隔熱鋁箔材料;3. 在兩接觸面上用200目的絲網篩刷涂導熱硅脂,導熱墊片和銦片則直接裁剪合適大小,直接放置即可;4. 設定接觸面壓力,調節加熱功率大小,啟動恒溫水浴裝置,啟動真空抽吸系統;5. 測試系統達到穩態熱平衡后,軟件自動記錄測試結果并計算接觸熱阻數據,如圖4所示。


導熱硅脂是一種用硅聚合物所制成的復合性油脂,內含高度分散及經微粉化的金屬氧化物,導熱脂硅為塑性材料,便于元器件反復拆卸裝配,具有一定流動性,容易填補接觸表面的空隙,經壓縮后其結合厚度可以變得相當薄,可以很好地控制容積熱阻,這對降低熱阻有很大幫助。對Flextein? Grease 5030型導熱硅脂進行接觸熱阻的測試,其標稱導熱系數為3W/(m·K),工程上其使用涂布厚度一般為0.02~0.05mm。經測試,得到不同壓力條件下接觸熱阻的數值如圖5所示。從圖5可看出,當壓力小于20psi時,接觸熱阻隨著壓力的升高而顯著降低,30psi后變化趨于平緩。

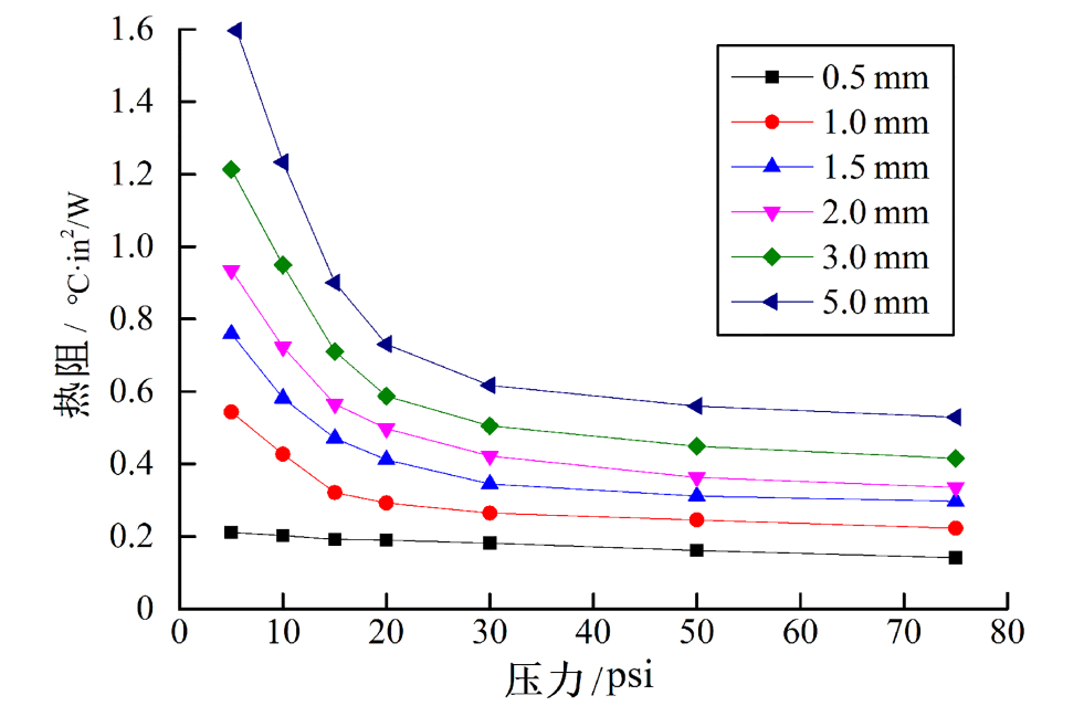
導熱橡膠墊一般是由硅橡膠、導熱填料和承載料組成,填料成分主要是氧化鋁、氮化硼及金屬氧化物。導熱橡膠墊表面平整柔軟,能很好地貼合功率器件與散熱裝置。適用于器件與散熱表面之間有較大間隙需要填充,同時需要減振、防止沖擊、便于安裝和拆卸的工程應用場景。對Flextein? S50型導熱橡膠墊進行接觸熱阻的測試,其標稱導熱系數為5W/(m·K),測試了不同壓力條件下,不同厚度的導熱橡膠件接觸熱阻的數值,結果如圖6所示。從圖6可看出,厚度越大,壓力對接觸熱阻的影響則越顯著。當壓力小于30psi時,接觸熱阻實驗數值隨壓力升高顯著降低,之后變化趨于平緩。

實驗中也分別采用了Flextein? S30?S50?S80 型厚度為1mm的導熱橡膠墊作為實驗對象,測試了不同壓力條件下導熱橡膠墊的接觸熱阻實驗數值。從圖7可看出,在同樣壓力下,導熱系數高的導熱墊其接觸熱阻實驗數值會越小,在30psi前,導熱系數越大的導熱墊,其接觸熱阻實驗數值隨壓力的升高,其降低的幅度會越大,同樣在30psi壓力后,接觸熱阻實驗數值變化幅度較為一致,說明再施加大的壓力已經作用不明顯了。

銦是一種低熔點合金,其延展性好,標稱導熱率一般為82W/(m·K),在工程實踐上大多把它加工成極薄的銦片,厚度為0.1~0.3mm。當銦達到相變溫度點時,其變為液態填滿整個界面的空隙,此時整個固-固的界面接觸熱阻會大幅降低,從而可顯著改善界面傳熱性能。對厚度為0.25mm的TG800型銦片進行了接觸熱阻的測試,得到銦片的接觸熱阻數值與壓力的關系如圖8所示。從圖8可看出,0.25mm 厚度的銦片實驗接觸熱阻測試數值,隨著壓力載荷變化近似呈現線性變化,在30psi壓力后的接觸熱阻實驗數值變化幅度緩慢。

采用穩態熱流法針對當前工程上的導熱硅脂、導熱橡膠墊、銦片這3種常用熱界面材料進行了固-固界面接觸熱阻的實驗研究,為電子設備的熱設計提供指導和借鑒。測試結果表明:1. 在平面度較好(<0.1mm)情況下,導熱硅脂對于降低固-固界面的接觸熱阻效果最優;2. 在平面度較差(>0.1mm)情況下,一般推薦使用導熱橡膠墊或銦片,在同等壓力條件下銦片的使用效果較佳。3. 3種熱界面材料的接觸熱阻實驗數值都隨壓力的增大而降低,但超過一定壓力后,接觸熱阻隨壓力變化幅度變緩,在工程實踐上推薦30psi為合適的選取壓力值。
標簽:
導熱界面材料 點擊:
版權聲明:除非特別標注,否則均為本站原創文章,轉載時請以鏈接形式注明文章出處。