來源:網絡
在當今眾多種類的電池中,鋰離子電池作為電池的代表之一,因具有體積小、能量密度高、使用壽命較長、自放電率較低及無記憶效應等優點,而被廣泛使用。但鋰離子電池產熱較多,電池包內易形成熱量累積導致電池各單元的性能和壽命受損,甚至發生熱失控[1]。為防止這些情況的發生,需要對電池包進行散熱以保證電池工作在正常溫度范圍內。散熱系統按照冷卻介質可分為:氣體冷卻、液體冷卻及相變材料冷卻。其中氣體冷卻相對于其他冷卻方式,成本相對低廉,應用范圍更廣。本研究所建立的仿真模型以氣體做冷卻介質,考察結構內冷卻風道串行、并行、串并結合條件下的冷卻效果。
1 電池生熱機理
已有眾多學者對電池整體結構與散熱效能進行過研究,Park等[2]對串行通風的結構設計,包括電池個體間距、排列方式進行研究,認為“電池扁平式排列耗能最小”。Mahamud等[3]設計循環冷卻結構,避免了進出口氣體溫度存在較大溫差問題。常國鋒等[4]研究了進風口角度對電池散熱的影響。Liu等[5]建立壓力損失方程,提出并行結構的計算方式,并研究了風道結構、電池個體間距對散熱效果的影響。
仿真模型以圓柱形電池為基本單元,電池組是多個單體串并聯組成。一個大型電池包,包含電池單體的數量較多,自身體積較大。由于在使用時總體發熱功率較大,傳熱距離過長,容易導致熱量在有限空間內累積,產生的熱量無法及時散失,電池溫度顯著升高,如果熱量產生速率超過散熱速率,則有熱失控的危險[6]。
熱量產生和耗散率之間的平衡見圖1[7]。通常認為,T0為電池溫度穩態平衡點,T1為溫度非穩態平衡點,溫度T在T1以下,則散熱強度強于生熱強度,如果持續這種狀態,則溫度最終會降至平衡點T0;如果溫度T在T1以上生熱強度強于散熱強度,則溫度最終會不斷升高,電池也將面臨熱失控,最終達到著火點T2,故稱T1為熱失控的起點。鋰離子電池的正常工作溫度應在50 ℃以下,Todd M. Bandhauer等[8]驗證了當電池溫度超過50 ℃時,電池可恢復的容量就會減少。另外考慮到電池包內若干電池的放電一致性,單體電池溫度差不應在6 ℃以上[9]。

鋰離子電池放電過程中主要產生四部分熱量,如式(1)所示:

式中:Qr為反應熱;Qp為極化熱;Qs為分解熱;Qj為焦耳熱。但在實際電池工作過程中,由于分解熱在熱量中所占比重較低,可將Qs忽略不計。極化熱和焦耳熱可采用等效電池內阻產生的熱量進行替代,故可將電池反應產熱量公式簡化為:

式中:R為電池內阻,R=Rz+Rp(其中Rz為電池本身的歐姆電阻,Rp為極化反應內阻);I為電池充放電時電流的大小;t為電池充放電時間。Bernadi[10]假設電池體內產熱量均勻分布,并建立一種經典的電池生熱模型。

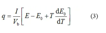
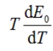
式中:q為電池產熱量;Vb為電池的體積;I為充電電流,充電為正,放電為負;E為電池單體電壓;E0為電池單體開路電壓;T為溫度;dE0/dT是溫度系數;(E-E0)為焦耳熱部分;
為可逆反應熱部分。根據上述公式及電池組熱特性的參數,即可估算出不同放電倍率下電池的產熱率。
單體電池及電池包的熱活動是影響其性能的關鍵部分,高倍率放電情況已不容忽視,特別是用電設備所使用的電池包一般在密閉情況下工作,缺少高效的外部散熱方式,存在散熱等諸多問題,故本文以圓柱鋰離子電池作為研究對象,基于ANSYS FLUENT仿真平臺,建立8串5并的電池包三維散熱模型,研究其熱特性及換熱條件下的溫度分布情況。
2 散熱過程仿真
2.1 創建模型
模型擬用圓柱形鋰離子電池,給定的單體電池參數見表1。

為提高模型收斂性和參考性,設定的理想條件如下:
(1)電池內部材料均無差別,熱物理參數不隨溫度和荷電狀態的改變而改變;
(2)忽略微量產生的分解熱、輻射熱的影響;
(3)電池單體發熱均勻且放電倍率設為恒定值,電池假設為穩定的熱源體;
(4)電池模型的放電溫度比充電溫度高,所以在散熱仿真時只考慮放電過程;
(5)將空氣的物理參數設為不隨溫度而變化,密度為1.225 kg/m3,導熱系數0.024 2 W/(m·K),比熱容為1.006 43kJ/(kg·K);
(6)圓角,安裝孔,螺紋孔等微小影響不予考慮。
電池包的標稱容量為15 Ah,內阻400 mΩ,標稱電壓12.8 V,放電電流為15 A。鋰離子電池工作溫度范圍在充電時為 0~55 ℃,放電時為-10~60 ℃。
模型由40個單體電池組成8串5并的電池包,各個電池間距2 mm,風道總長度為373 mm,寬度為156.5 mm,厚度為3 mm,進風口尺寸為45.6 mm×150.5 mm,出風口尺寸為35 mm×130.5 mm,整個電池組工作在半密閉環境中。仿真研究假設各個電池產熱速率相同。風道整體結構見圖2。

2.2網格劃分
模型在建模仿真前需要進行網格劃分。在網格劃分過程中,采用四面體網格,該網格對不規則物體進行劃分后有利于殘差收斂。圖3為模型中部的縱向網格截面圖。由圖可見模型均被四面體單元網格劃分。出風口位置的空氣域的網格劃分較為密集,有利于保證計算精度。網格劃分的總單元數量為2 409 714,節點數為584 905。

2.3 結構設計
進風口傾角的改變可以不同程度上改變流場均勻性,但在氣體的進風口側,特別是上層電池的進風口側,其周圍氣體流速相對較低,這是由于氣體進風口側空氣靜壓較大,氣體在垂直方向上壓差較小造成的。所以,考慮增大進風口傾角進而增加進風口側壓差來增加氣體流量,但進風口傾角的不同關系到風道體積的差異。為探究進風口角度對電池散熱的影響,設置進風口與水平夾角4°~14°,逐一進行仿真。主要取4°,8°,12°三個模型表現進風口的角度變化趨勢,見圖4。

11組數據分別采集自電池包中工作在相同倍率,相同風速下的電池單體的最高和最低溫度,見圖5。從圖中可以看出電池溫度隨進風口角度的增大而減小。在4°~14°進風口角度增大時,每增加1°風道體積增大約7 791.054 mm3。隨風道體積的增大,風道占用的空間及材料消耗越大。

表2中,進風口傾角在9°~10°時電池單體最高溫度減少2.8 K,10°與11°的差值為0.7 K,在角度繼續增大后溫度變化不明顯,且均小于1 K。基于對風道體積的考慮,大于10°的進風角不宜選用,故選擇進風口10°為仿真模型的進風口傾角。

在風道設計中為進一步增加風道的散熱能力,增加氣體與電池間的換熱速率,減小隨氣體進入風道深度帶來的氣體溫度升高的影響,對風道兩側添加輔助散熱孔組,增強風道后端及兩側邊緣電池的換熱效果。其尺寸為40 mm×5 mm,每側設置9個散熱孔,并對左側、右側及雙側散熱孔組開閉共四種情況進行仿真對比。圖6中,圖中散熱孔著重加黑標識,從左至右依次為左側孔組打開,右側孔組打開,雙側孔組關閉,雙側孔組打開的三維結構簡圖和對應的流場速度云圖。出風口速度最大的是雙側孔組打開時,速度為8 m/s,比雙側孔組關閉時增加了1.6 m/s,增加了氣體在風道內的流速。

圖7中,雙側散熱孔組關閉時,電池包內單體最高溫度為309.2 K,最低溫度為304.6 K;左側散熱孔組打開,電池包內單體最高溫度為306.4 K,最低溫度為299.6 K;右側散熱孔組打開,單體最高溫度為306.2 K,最低溫度為299.3 K,左、右側散熱孔組溫度差異不明顯,但對風道散熱能力有一定提高;雙側散熱孔組打開時,電池包內單體最高溫度為303 K,最低溫度為297.2 K,提高了風道的散熱能力。由仿真結果可以得出:在風道中增加輔助散熱孔組,可以增強風道散熱能力。

由風道結構可知,氣體從進風口進入風道時,風道自身存在一定角度,導致進入風道的氣體體積被壓縮,近出風口處氣體流速快,換熱速率高,近進風口處氣體流速慢,換熱速率低。為改善氣體體積壓縮后造成風道內流速差異較大,氣體和電池表面換熱不均的情況,因此采用添加氣體引流板的方式。針對該模型設置了去除引流板,后置引流板和前置引流板三組仿真。圖8(a)中,在去除引流板時,電池單體最高溫度為306.2 K,最低溫度為297.2 K,最大溫差為9 K;后置引流板見圖8(b),引流板在圖中已著重加黑標識,仿真后得到電池單體最高溫度為307.5 K,最低溫度為299.5 K,最大溫差為8 K;前置引流板見圖8(c),仿真后得到電池單體最高溫度為303 K,最低溫度為297.1 K,最大溫差為5.9 K。由數據可知,添加氣體引流板對電池溫度均勻性有一定改善,前置氣體引流板相對于后置氣體引流板更有助于氣體在風道內的分流,減小流速差異進而減小換熱差異。

3 仿真結果分析
電池在處于流體散熱狀態下,不僅有電池內部導熱的過程,還有電池表面與外部空氣對流換熱的過程。因此該電池模型屬于流固耦合傳熱模型。電池模組在雷諾數低于2 300時的流體環境下換熱,應選擇層流模型;電池模組在雷諾數高于4 000時的強制對流環境下換熱,應選擇標準k-ε的湍流模型。標準k-ε模型的湍流動能k和耗散率ε方程如下:

式中:μt為湍動粘度;k為湍動能;ε為耗散率;Gk為由平均速度梯度引起的湍動能的產生項;Gb為浮力影響引起的湍動能產生項;YM為可壓縮湍動能脈動膨脹對總的耗散率的影響。
電池表面溫度合理并滿足工作溫度需求是衡量熱設計成功的因素之一。仿真計算可以獲得在電池工作時電池溫度的變化過程與趨勢,可以模擬近似實際工況的溫度變化。給定入口處流體溫度為20 ℃,模擬電池工作在本文設計的風道模型下,電池表面換熱系數202.4 W/(m2·K),并分別設置為1 C、5 C、10 C倍率下放電,仿真計算后溫度場圖見圖9。電池在1 C倍率放電時,由于發熱量較小,進出口流體溫度對電池發熱影響不是很大。圖9(c)中,電池在5 C倍率放電時,電池最高溫度為303 K,最大溫差達到4.6 K,溫差保持相對穩定,比1 C倍率放電時略高。電池在10 C倍率放電時,溫度分布見圖9(a),該條件在實際工況下所能達到的持續時間較短,已是嚴重過載狀態,電池單體間溫度差小于10 K,最高達到314.5 K,達到了實際工況下的應用要求。

設置電池包內最高溫度電池為編號1的電池,在不同放電倍率下升溫至最高溫度時的數據見表3。最高溫度全部低于電池組要求的安全溫度,說明該風道結構在不同倍率下均能滿足電池組控溫要求。

串行風道的通風冷卻方式見圖10,內部流體阻力偏大,對流換熱系數較小,電池單體之間溫差較大。并行風道的通風冷卻方式見圖11,并行風道雖然在最大溫差上相較于串行風道已有所降低,但會造成電池組局部溫度過高。經分析可知,主要原因為強制對流的冷風流經數個電池單體表面時,氣體的流場強度不均,導致散熱不一致[11]。

本文設定尺寸為258 mm×162.5 mm×87 mm的長方體串行風道進行仿真,風道厚度,進、出風口大小均與本文設計的風道相同,其他外部條件設定也相同。由于設定的串行風道采用較短的風道結構,前排電池距離進風口位置很近,所以風道內前排電池的冷卻溫度更低。但距離進風口較遠位置的電池溫度過高,最大溫差達到16 K,見圖12。電池工作在此種情況下將直接影響電池包的壽命。與本文設計的風道相比(見圖13),最高溫度與串行風道接近,電池單體間溫差縮小到9.8 K,在風道外側增加的輔助散熱孔組,增強了電池包邊緣的自然對流的能力。

由表4可見,在相同倍率下,并行風道與本文設計的風道的電池單體溫度差異較大,并行風道最大溫差為7.85 K,而本文設計的風道不但節省了材料成本,最大溫差同樣也縮小到5.9 K,并且具有更低的電池工作溫度。本文設計風道,具備串行風道出風口節約空間的優點,結合并行風道,又因采用氣體引流板及輔助散熱孔等措施,使電池包溫度場更均勻。

結合實際情況對電池風道在外部高溫環境下進行仿真,進風口的流體溫度和環境溫度均設置為40 ℃,進風口風速設置為3 m/s,設置電池包在2 C倍率下放電,得到電池包的溫度范圍在313.6~314.4 K之間,基本滿足鋰離子電池工作時溫控要求。
風道內部的氣流流動時的均勻性、穩定性是風道設計中相對重要的體現,圖中進風口風速為3 m/s,環境溫度為20 ℃的風道內部的氣流流動情況見圖14。氣體可以從電池間流動,由于進出口的面積不等,空氣分子間距離較遠,存在被壓縮的可能,所以圖中出風口氣體速度較大,風速為9 m/s,風道內部的氣流流動順暢,無氣體回流現象。

通過對改進的并行風道模型仿真與計算,與電池組不同倍率放電生熱條件相結合,發現采用并行風道的進風口模型、串行風道的出風口模型,可獲得串行風道節約材料與并行風道電池包溫度相對均勻的效果。在10 C倍率下,電池包內單體最大溫差可控制在9.8 K以內;增加輔助散熱孔后最高溫度可降低6.3 K;增加氣體引流板,可將最大溫差縮小到5.9 K。

標簽: 電源電力 點擊: 評論: