鋰電池熱失控原因分析和預測
對于鋰離子電池,熱失控是最嚴重的安全事故,它會引起鋰離子電池起火甚至爆炸,直接威脅用戶的安全。鋰離子電池發生熱失控主要是由于內部產熱遠高于散熱速率,在鋰離子電池的內部積攢了大量的熱量,從而引起了連鎖反應,導致電池起火和爆炸。
發熱失控的因素很多,總的來說分為兩類,內部因素和外部因素。內部因素主要是:電池生產缺陷導致內短路;電池使用不當,導致內部產生鋰枝晶引發正負極短路。外部因素主要是:擠壓和針刺等外部因素導致鋰離子電池發生短路;電池外部短路造成電池內部熱量累積過快;外部溫度過高導致SEI膜和正極材料等發生分解。
鋰電池熱失控原因分析
(1)過熱觸發熱失控
導致動力電池過熱的原因來自于電池的選型和熱設計的不合理,或者外短路導致電池的溫度升高、電纜的接頭松動等,應該從電池設計和電池管理兩個方面來解決。 從電池材料設計角度,可以開發來防止熱失控的材料,阻斷熱失控的反應;從電池管理角度,可以預測不同的溫度范圍,來定義不同的安全等級,從而進行分級報警。
(2)過充電觸發熱失控
“過充電觸發的熱失控”是指電池管理系統本身對過充電的電路安全功能缺失,導致電池的BMS已經失控卻還在充電導致的。針對這類過充電的原因,解決辦法首先是查找充電機的故障,這可以通過充電機的完全冗余來解決;其次是看電池管理合不合理,比如說沒有監控每一節電池的電壓。
隨著電池的老化,各個電池之間的一致性會越來越差,這時過充就更容易發生。這需要進行整個電池組的均衡,來保持電池組一致性。比如采用“先并后串”這一最常見電池組組合方法的串聯的電池組,在解決單體一致性問題后,最好的情況是擁有與最小容量的單體一樣大的容量。有了這個一致性之后,容量回升了,同時也能防止過充。為了實現一致性,必須有一種方法對各個單體進行容量估計。可以根據充電曲線的相似性來進行全體電池組狀態的估計。也即是說,只要知道了其中一個單體電池的充電曲線,其他的曲線應該跟它是相似的。經過曲線變化,它們可以近似重合,曲線變化的過程中間的這些差異就很容易計算。根據一個單體可以推算出其他的單體。有了這樣的方法,就可以進行上文提到的一致性的均衡,當然這種算法的時間過長,需要進行簡化。
(3)內短路觸發熱失控
電池制造雜質、金屬顆粒、充放電膨脹的收縮、析鋰等都有可能造成內短路。這種內短路是緩慢發生的,時間非常長,而且不知道它什么時候會出現熱失控。若進行試驗,無法重復驗證。目前全世界專家還沒有找到能夠重復由雜質引起的內短路的過程,都在研究當中。
要解決內短路問題,首先要找到產品品質好的電池廠商,選擇電池及電池單體容量;其次對內短路進行安全預測,在沒有發生熱失控之前,要找到有內短路的單體。這意味著必須要找到單體的特征參數,可以先從一致性著手。電池是不一致的,內阻也是不一致的,只要找到中間有變異的單體,就可以將其辨別出來。具體而言,正常的一個電池的等效電路和發生了微短路的等效電路,方程的形式實際上是一樣的,只不過正常單體、微短路的單體的參數發生了變化。可以針對這些參數來進行研究,看其在內短路變化中的一些特征。
其中特征之一就是內短路單體的電勢差,比較其內阻跟其他單體的差異。研發人員要利用模型來進行單體的辨識。在測出每個單體的電壓、電流后,利用這些數據再結合模型,就可以把每個單體的內阻預估出來。再把單體的參數全部預估出來后,根據參數的變化,便可以判斷其一致性是否發生了顯著性變化。
(4)機械觸發熱失控
碰撞是典型的機械觸發熱失控的一種方式。如果在實驗室進行碰撞的一個仿真,最接近的是針刺。通過對三元鋰電池和磷酸鐵鋰電池進行針刺試驗,研究熱失控過程,發現磷酸鐵鋰電池在這個熱失控過程中沒有三元鋰電池放熱表現的那么劇烈。實驗表明,不同的材料在針刺的時候會有不同的反應,磷酸鐵鋰相對安全。解決碰撞觸發熱失控的辦法就是做好電池的安全保護設計。
一般而言,熱失控發生之后,會往下傳播。比如第一節熱失控之后會有傳熱,開始傳播,然后整組像放鞭炮似的一個一個接下來。針對這種傳播,可以建立一個模型,包含中間溫度升高率、化學能電能的產熱、傳熱對流等。整個熱電耦合的模型,可以用量熱儀來做一個相關的定量分析。有了傳播模型,研發人員可以設計如何來阻斷和抑制,這需要加隔熱層。但是,加隔熱層并不簡單,一方面加厚了體積大,另一方面隔熱層跟冷卻又是矛盾的。這些都是需要解決的問題。總之,在熱失控擴展和抑制方面,研發人員要從安全保護設計和電池管理兩個方面著手。
電池熱失控的預測

美國德克薩斯大學阿靈頓分校的Krishna Shah對鋰離子電池熱失控現象進行了分析,并建立了一套鋰離子電池熱失控的預測機制,對于鋰離子電池的安全設計具有重要的參考意義。相關研究顯示,鋰離子電池熱失控過程主要由一下反應組成:SEI膜分解,電解液和粘結劑發生反應,電解液和正極活性物質發生分解。
影響鋰離子電池熱失控的因素可以分為兩個,一個是電池內部的產熱速率,另外一個是鋰離子電池的散熱速率。傳統的熱分析工具,一般假設鋰離子電池的產熱在整個體積內是均勻的,因此這些工具分析認為熱失控與電池的熱導率無關,這與鋰離子電池在實際中的情況是不同的,因此預測結果也是不準確的。研究顯示,即使在26650電池內部也存在這很大的熱梯度,因此傳統的方法和工具無法來準確預測電池內部和外部的熱狀態。
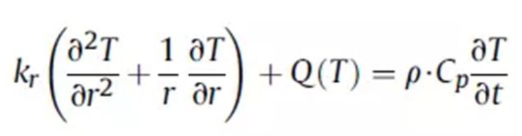
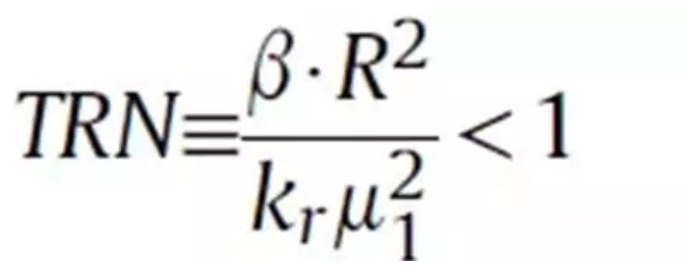
為了解決上述問題,Krishna Shah在傳統的鋰電熱分析模型上加入了熱導率參數,從而產生了一個無量綱參數——熱失控數(TRN)。首先Krishna Shah建立了一個電池溫度與產熱和散熱的之間的等式關系,如下所示

對公式之中的產熱函數Q(T)在溫度為T0處進行泰勒展開,忽略高階項可得到如下公式

然后該公式需要經過復雜的數學求解過程,小編實在看不懂就不給大家介紹了,讓我們直接看結果吧。最后推導獲得如下結果


在整個操作范圍內,都必須滿足上述公式才能保證不發生熱失控。該公式結合了電池內部熱傳遞kr,電池表面散熱μ1,電池產熱速率參數β以及電池半徑等參數。而電池的產熱速率參數β和電池散熱以及熱導率系數是控制鋰離子電池熱失控的關鍵參數,通過增大β值,TRN值也響應增大,當TRN>1時,電池就會發生熱失控,而TRN<1是電池則不會發生熱失控,需要注意的是,β并不是一個固定的值,而是隨著溫度的升高而不斷增大,因此TRN也會隨之增大。
電池的散熱主要由兩步構成,電池內部的熱傳導和電池外部的熱對流,因此在β一定的前提下,就需要調整電池的熱導率kr和表面散熱參數μ1來保證TRN<1,從而保證電池的安全性。例如當β=6000 W/m3K,kr和μ1的安全范圍如上圖所示。
通過Krishna Shah的工作,在電池的安全設計中我們可以利用TRN公式來計算鋰離子電池的熱安全系數,β值和kr值可以通過相應的實驗就行測量,根據不同材料的β值和kr值,可以對電池的R值和表面散熱μ1進行調整,保證TRN<1,確保鋰離子電池的安全性。
本文來源:互聯網 版權歸原作者所有,轉載僅供學習交流,如有不適請聯系我們,謝謝。
標簽: 點擊: 評論: