強迫風冷設計中的大部分散熱器和液冷設計中的部分冷板中都有陣列式翅片結構。在選擇風扇或泵時,除了要考慮流體流量需求,還需要結合相應流量下系統的流阻。
實際流體都是有粘性的。粘性流體流經固體壁面時,緊貼固體壁面的流體質點將粘附在固體壁面上,它們之間的相對速度等于零,在固體壁面和流體的主流之間形成一個由固體壁面的速度過渡到主流速度的流速變化區域;倘若固體壁面是靜止不動的,則要有一個由零到主流速度的流速變化區域。根據牛頓內摩擦定律,存在速度梯度的流體之間就會產生阻力。這就是流動阻力的原因之一。另外,流體掠過障礙物時,障礙物壁面凸凹不平的地方被流體層遮蓋,流體質點對管壁凸出部分不產生碰撞,產生流阻;在管徑突然擴大或縮小,或流經直角、彎管、球體等情況時,會發生倒流,引起流體與固體壁面發生分離現象,并產生大量的旋渦,漩渦中流體質點彼此碰撞混合,從而導致的附加阻力。
系統所需流量可以根據能量守恒定律進行估算,這時,如果設定散熱器或冷板的形狀,將能簡單地獲得流體當量流速和各種水力特征長度。

上圖是一個典型的翅片式散熱器的形狀。散熱器翅片之間有流體經過,由于流體黏性的存在,造成流阻,宏觀反映為散熱器兩側存在對應的壓強差。文中所用的公式幾何參數和流動方向參考圖示散熱器的各項標注。
本文所做的流體阻力計算,在如下的假設前提下進行:
l 不考慮溫度差造成的空氣密度差;
l 平行翅片式散熱器;
l 流動為充分發展的層流,對于平行平板間的流動,最小臨界雷諾數通常被認為是1300,適用于絕大多數散熱器工作狀態。
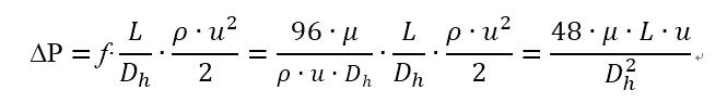
在忽略入口效應和出口效應時,流體以層流狀態流過一個充分發展的散熱器通道時,阻力產生的原因主要是流體粘性產生的內摩擦力。這時,壓降可以使用范寧公式(Fanning formula)計算:

式中f,Dh,L,ρ,u分別指摩擦阻力系數(friction factor),水力直徑,翅片長度,流體密度和流體流速。當流量已知,散熱器的幾何參數也定下來之后,公式中的摩擦阻力系數成為唯一的未知量。因此,在求解流動阻力時,確定摩擦阻力系數是關鍵。
在無限大平行平板層流流動中,摩擦阻力系數可按下式計算
f = 96/Re
其中,Re就是流體力學中最關鍵的無量綱數之一雷諾數,其計算式為:
式中μ表示流體的動力粘度。
將雷諾數代入公式,得到壓降的計算式為:

實質上,散熱器的進出口處流阻是不可避免的。流體從開放區域進入散熱器區域時,流體會出現突然收縮;當流體離開散熱器進入開放空間時,又會出現突然擴展。進出口處,流動空間的突變將導致流速突變形成局部較大的速度梯度,誘發漩渦,而漩渦會消耗能量。
|
![]() |
|
|
|
|
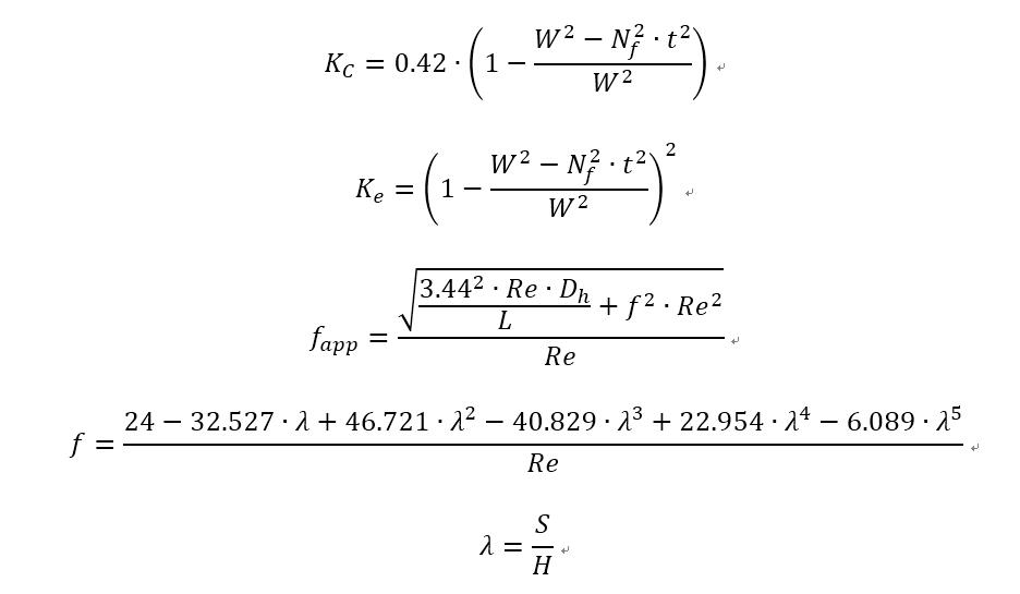
如圖所示,在散熱器入口處,流體從開放空間進入相對窄小的翅片間隙,流線彎曲,流束收縮,在縮頸附近的流束與管壁之間形成一充滿小旋渦的低壓區,在大直徑截面與小直徑截面連接的凸肩處,也常有旋渦;所有漩渦的旋轉都需要消耗能量;在流線彎曲、流體的加速和減速過程中,流體質點碰撞、速度分布變化等也都要造成能量損失。在出口處,翅片拐角與流束之間將形成旋渦,旋渦靠主流束帶動著旋轉,主流束把能量傳遞給旋渦,旋渦又把得到的能量消耗在旋轉運動中,變成熱而散失。在出口處,從散熱器中流出的流體有較高的速度,會與開放流域中流速較低的流體產生碰撞,從而造成碰撞損失。
當考慮進出口效應時,壓降公式可近似為:

其中,Kc和Ke分表示入口和出口處的壓降效應參數,fapp為表觀摩擦系數。式中一系列參數又是使用如下公式近似的。

其中Nf表示翅片數目。作為對比進出口效應,下表列示了某具體散熱器使用經驗公式計算出的壓降值。
散熱器
長度(mm)
|
散熱器
寬度(mm)
|
散熱器
高度(mm)
|
散熱基板厚(mm)
|
翅片數目Nf
|
翅片
厚度(mm)
|
風量(CFM)
|
忽略進出口效應時
散熱器壓降(Pa)
|
考慮進出口效應時
散熱器壓降(Pa)
|
100
|
75
|
15
|
3
|
30
|
0.4
|
6
|
26.8
|
31.7
|
流體阻力影響因素繁多,文章所用公式引入了不少簡化,求解結果會與實際情況有所偏差,提醒讀者謹慎使用計算結果。
標簽: 點擊: 評論:
